2012天津政法干警考试行程题型知识点
来源:华图教育发布时间:2012-08-29 [an error occurred while processing this directive]
“行程问题”是历年公考、政法干警考试的重点题型,也是每次考试几乎都会涉及的常考题型,也是考试中的“难点题型”。把握行程问题的关键就是要把握行程问题的基础题型,然后再逐渐地拓展,掌握有难度的题目。提到行程类的题目我们首先要记住其的基本公式即:路程=速度×时间;对于行程类的题目我们一般常用的方法是列方程,但根据不同类型的题目还可以采用不同的方法,下面我们分别介绍一下。
行程类的题目共有四个类型:一类,基础类题目,采用的应对方法是方程法和比例法。比例法我们掌握三条推论:当时间相同时,路程比等于速度比;当速度相同时,路程之比等于时间之比;当路程相同时,速度之比等于时间反比。
二类是相对速度的问题,相对速度的问题有两种形式,一是流水行程和电梯类的问题,我们要把握他们的基本公式就可以了,二是相遇和追及的问题,掌握其基本的公式,应对的方法是画图法和方程法。
三类是复杂的形成问题:其中包括往返多次相遇的问题、身后追及相遇的问题,我们采用的应对方法就是画图解题。
第四类就是模型题,例如沿途数车的问题,掌握等发车间隔沿途数车的核心公式。
自测练习
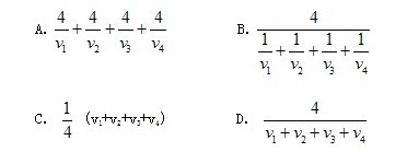
「例题1」四名运动员参加4×100米接力,他们100米速度分别为v1、v2、v3、v4,不考虑其他影响因素,他们跑400米全程的平均速度为:( )

解析:从题目中已知的条件可以看出,此题是一道基础的行程问题。根据行程问题的基本公式:路程=速度×时间,我们就可以解答此题。题目中已知的条件可以了解到在400米接力赛中,平均速度就等于总的路程÷总的时间。在此题中总的路程我们已知,那么我们只要求出总时间,就可以得到整个路程的平均速度。那么每个人在跑100米时的速度不同,每个人所用的时间=个人所跑的路程÷各自的速度,四个人的时间和就是总时间。根据已知条件我们得出以下式子:

公式介绍

总之,行程问题是行测考试中的常见题型,大家必须牢牢掌握此类题型,掌握基本的公式,根据图形进行题目分析,牢记相关的基础知识,掌握考点,才可应对考试。
【责任编辑:育路编辑 纠错】

