育路国际学校频道

国际学校

客服热线 010-51268841
400-805-3685

当前位置:首页 > 私立学校 > 初中/中考 > 初中数学

2013年中考数学四边形复习知识详解

来源:考试大发布时间:2013-06-27 09:23:56

大家都在关注:19年7月国际学校开放日全国优质国际高中国际初中国际小学推荐

  中考结束,进入高中后也不能放松学习,学大教育中小学一对一个性辅导,为学员量身设计学习方案,让学习更加轻松!

  学大全国免费咨询电话:400-059-4258

  四边形的相关概念

  知识点:

  一、多边形

  1、多边形:由一些线段首尾顺次连结组成的图形,叫做多边形。

  2、多边形的边:组成多边形的各条线段叫做多边形的边。

  3、多边形的顶点:多边形每相邻两边的公共端点叫做多边形的顶点。

  4、多边形的对角线:连结多边形不相邻的两个顶点的线段叫做多边形的对角线。

  5、多边形的周长:多边形各边的长度和叫做多边形的周长。

  6、凸多边形:把多边形的任何一条边向两方延长,如果多边形的其他各边都在延长线所得直线的问旁,这样的多边形叫凸多边形。

  说明:一个多边形至少要有三条边,有三条边的叫做三角形;有四条边的叫做四边形;有几条边的叫做几边形。今后所说的多边形,如果不特别声明,都是指凸多边形。

  7、多边形的角:多边形相邻两边所组成的角叫做多边形的内角,简称多边形的角。

  8、多边形的外角:多边形的角的一边与另一边的反向延长线所组成的角叫做多边形的外角。

  注意:多边形的外角也就是与它有公共顶点的内角的邻补角。

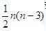
9、n边形的对角线共有

1.jpg

条。

  说明:利用上述公式,可以由一个多边形的边数计算出它的对角线的条数,也可以由一个多边形的对角线的条数求出它的边数。

  10、多边形内角和定理:n边形内角和等于(n-2)180°。

  11、多边形内角和定理的推论:n边形的外角和等于360°。

  说明:多边形的外角和是一个常数(与边数无关),利用它解决有关计算题比利用多边形内角和公式及对角线求法公式简单。无论用哪个公式解决有关计算,都要与解方程联系起来,掌握计算方法。

家长有问必答

学生年级:

联系方式:

学生姓名:

意向学校:

择校问题:

育路国际学校

微信二维码

入学帮助热线:400-805-3685010-51268841

非京籍入学

优质国际学校推荐 更多>>

  • 中加国际学校

    中加国际学校

    口碑极好,拥有上万名毕业生!
  • 北大附属实验学校

    北大附属实验学校

    招收幼小初高学生及非京籍普通班学生
  • 黑利伯瑞国际学校

    黑利伯瑞国际学校

    黑利伯瑞中国分校,办理澳洲学籍,免托福雅思考试。
  • 君诚国际双语学校

    君诚国际双语学校

    外教课程比例70%的国际学校
  • 海淀区尚丽外国语学校

    尚丽国际学校

    获评海淀区家长满意度最高的学校
  • 格瑞思国际学校

    格瑞思国际学校

    专注中美国际教育学校
2019年入读国际学校 2019年入读国际学校
  • 国际学校推荐
  • 口碑院校推荐
国际学校

我要给孩子
报学校

学生姓名: 手机:

育路帮您择校调剂