相关文章推荐

快速择校

政策解读
010-51268841
全国统一招生热线
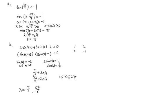
疫情来临,为了响应国家号召,中关村外国语学校停课不停学,国际部VCE项目内部进行了一次跨年级数学竞赛,内容为11年级和12年级同学都学习过的三角函数方程,题目来自2017年NHT官方考题,要求手算,题目如下:
究竟是十二年级的学长学姐经验老道,还是十一年级的学弟学妹后浪推前浪呢?
赛题发布后,很快收到了不同年级同学的回复,经过精挑细选,评比出了1,2,3名,学生书写的解题过程如下:
名:12年级王晨霏同学

第二名:11年级的金子彭同学
第三名:12年级胡惠森同学
同学们第二题的解答普遍比较规范,但是题在逻辑上有欠缺严谨之处,就此,林老师与同学们进行了一对一针对性交流:
最后,针对同学们普遍存在的问题,林老师特意录制了一期视频,进行了讲解说明。
前30名预约家长尊享:1对1升学指导免费招生手册免费体验课程入学考试指导提前抢占学位机会
中关村外国语热门关注
中关村外国语最新动态
答北京市中关村外国语学校招生简章详解了最新学费、课程及入学条件。小学国内班5.2万/年、国际班8.5万/年,课程含双语及国...
答北京市中关村外国语学校招生电话包括010-51268841、400-805-3685等,家长咨询时可重点了解招生政策、入...
答北京市中关村外国语学校申请材料涵盖京籍学生的身份证明、居住证明、学业证明及一寸照片等;非京籍学生还需额外提供四证材料,家...
答北京市中关村外国语学校排名表现亮眼,在最新海淀小学口碑榜单中位列第3,教学成果显著,办学质量与口碑获得家长和学生的广泛认...
答北京市中关村外国语学校预报名线上通道开放时间为滚动预约报名,京籍学生需准备身份证或户口本、成绩单等材料,非京籍需额外提供...
学费:8.50万/年简章详情>
学费:9.00万/年简章详情>
学费:12.80万/年简章详情>
学费:9.00万/年简章详情>
学费:15.80万/年简章详情>
学费:12.00万/年简章详情>
免费咨询
张老师

关注微信公众号
招生政策随时看

关注小程序
学校简章学费随时查
报名咨询电话:400-005-1568
育路教育
评论0
“无需登录,可直接评论...”