
快速择校

政策解读
导语introduction
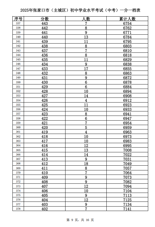
目前张家口市教育考试院已发布2025年张家口中考一分一档表及区排名。本文为大家整理了2025年张家口中考一分一档表,帮助大家了解孩子的中考成绩在张家口市及主城区的排名情况,方便择校参考。


















一分一档表可直观反映考生在全市的位置。例如,若某考生2025年成绩为500分,根据上表可知其排名约在28445名,处于中上水平。结合2025年政策,考生需根据最新排名调整策略:
高分段(前10%):可重点关注张家口一中、四中(全市前50名中两校各占17人)等省级示范高中。
中分段(30%-60%):可选择宣化一中、沙城中学等优质公办高中,或东方中学、德智中学等民办强校。
低分段(后40%):建议优先填报职业高中或“3+2”贯通培养项目,如张家口职教中心,部分专业就业率超95%。
参考往年录取线(普通高中348分,艺体类258分),考生可按“冲-稳-保”原则填报:
冲一冲:选择近3年录取线略高于自身分数的学校,如张家口一中(2024年录取线530分)。
稳一稳:选择录取线与自身分数相当的学校,如宣化一中(2024年录取线485分)。
保一保:选择录取线低于自身分数10-20分的学校,如东方中学(2024年录取线450分),确保有学可上。
2025年中考志愿填报新增以下要点:
民办高中跨区招生:民办校在举办地外招生比例不得超过40%,如德智中学(张北县)在主城区招生计划有限,需提前咨询。
特色班调剂规则:市四中生物班、六中外国语班未招满的计划将直接转入第四批次,考生填报时需权衡是否接受调剂。
职普融通试点:部分中职学校与普高联合开设实验班,学生可在高一结束后选择升学方向,适合分数在普高线边缘的考生。

张家口未来学校(原北京一零一实验学校)是近年崛起的民办名校,其特色如下:
硬件与师资双优
学校位于经开区祥云国际教育小镇,拥有天体物理实验室、生物多样性实验室等高端设施,并与清华大学、中科院合作开发课程。教师团队中,硕士以上学历占比超60%,部分学科带头人来自衡水中学、北京名校。
个性化培养模式
推行“生涯规划+学科融合”教育,例如将人工智能课程融入数学教学,地理课结合地质勘探实践。2024年高考中,该校强基计划上线率达82.4%,本科率100%,位居全市民办校第一。
升学路径多元
除传统高考外,学校开设国际班(对接剑桥、多伦多大学)、艺术特长班(美术/音乐),2024年有12名学生通过艺考被985院校录取。学费标准为高中部每学期3万元,适合经济条件较好、追求综合素质发展的家庭。
查看简章:张家口未来学校(原张家口北京一零一实验学校)高中部招生简章
张家口未来学校(原张家口北京一零一实验学校)清美艺术普高班招生简章
特色:全封闭管理,采用衡水中学“一课一研”教学模式,2024年中考600分以上82人,高考强基上线637人。
优势:与清北竞赛教练合作开设拔尖创新人才基地,适合成绩中等偏上、自律性强的学生。
学费:每学期2.4万元,可申请奖学金。
特色:以“低进高出”著称,2024年高考二本上线率93.7%,部分班级本科率超80%。
优势:实行“151高效课堂”,注重基础巩固,适合分数在普高线附近的学生。
学费:每学期1.8万元,提供贫困生补助。
特色:投资9亿元建设的现代化寄宿校,与常州易学合作引入衡水师资,2024年首届高考本科率92%。
优势:校园设施一流,开设冰雪运动、机器人等特色课程,适合综合发展需求高的学生。
学费:每学期2.8万元,含食宿。
2025年7月2日-4日公布成绩,7月5日-8日填报志愿,7月9日起分批次录取。
建议考生在6月30日前完成学校调研,制定初步志愿表。
填报步骤
第一步:登录张家口市中考信息管理系统,核对个人信息。
第二步:按批次填报志愿,第四批次最多填12个(普高+中职),注意顺序梯度。
第三步:提交后到初中学校打印《志愿信息核对表》,由考生和家长签字确认。
避免扎堆热门校:如张家口一中近年报考热度高,2024年录取线较2023年上涨15分,需谨慎评估竞争力。
注意身体条件:飞行员基地班、冰雪运动学校等对视力、体能有特殊要求,填报前需查看招生简章。
慎选高收费校:部分民办高中年学费超5万元,需结合家庭经济状况选择。
本文整理了2025年张家口中考一分一档表相关分析、私立高中推荐及志愿填报指南。如果您正在为孩子2025年张家口中考志愿填报而焦虑,不知如何依据一分一档表选择合适学校,马上联系我们在线客服老师,帮您清晰了解报志愿要点,省去搜集资料和分析政策的时间。结合孩子的实际情况为您规划最适合的高中学校。
推荐阅读>>>
2025河北张家口中考一分一档表&区排名发布,志愿怎么报?
还有疑问?立即在线咨询特别声明:①凡本网注明稿件来源为"原创"的,转载必须经授权后方可发布,违者将依法追究责任;
②部分稿件来源于网络,如有侵权,请联系我们沟通解决,联系邮箱:2498144268@qq.com
1对1免费咨询
解决98%的申请入学问题
25年择校服务经验 · 5分钟内响应·无限次追问
答通过校额到校入学后,一般不能直接入学特殊实验班,但有进入普通实验班的机会,如果想要进特殊实验班那就不能走校额到校,如果是...
答高中转学到北京学校是可以的,但是需要转入户籍所在区的高中,成绩须不低于中考当年转入学校统一招生录取分数,转入时,应提供原...
答文化成绩差,并不代表学生没有高中上,初中成绩差上高中是有机会的,如果孩子有特长,是可以发挥学生的特长报考高中学校的,包含...
答非天津户籍上学需要提前进行入学登记,家长需要提供多项材料,即:居住证、居民户口簿、合法居所证明、务工就业证明、儿童预防接...
答外区户籍上天津滨海新区小学是行不通的,若孩子为天津市其他区户籍,通常需回户籍地所在区统筹入学。若家庭在滨海新区拥有房产,...
答2026年北京幼升小入学年龄要求还是跟往年一样,并没有延长或其他调整,2026年北京幼升小招收2019年9月1日至202...
1999-2025 北京育路互联科技有限公司版权所有 | 京ICP备10025267号-13 | 京公网安备 11010802025989号
免费咨询
张老师

关注微信公众号
招生政策随时看

关注小程序
学校简章学费随时查
报名咨询电话:400-005-1568
育路教育

评论0
“无需登录,可直接评论...”