
快速择校

政策解读
010-51268841
400-805-3685
导语introduction
2025年海南省中考成绩公布时间已公布,同步发布的海南中考五分一段表成为考生和家长关注的焦点。这张表格通过每5分一档的分段统计,清晰展示了全省考生的分数分布情况,为精准定位志愿填报范围提供了关键依据。根据海南往年中考生的选择,在海南有公办高中、民办高中、民办国际高中、公办国际部、中职类学校、艺术高中、体育高中等选择,这些升学选择分别适合不同分段的学生。
目录
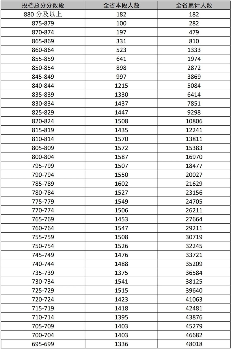
一、2025年海南中考五分一段表
二、2025年海南中考多少分可以上高中?
2025年海南中考人数减少
海南普高招生人数上涨
全省普高分数线预测
三、海南中考生升学选择
公办高中
民办高中
民办国际高中
公办国际部
中职类学校
艺术高中
体育高中

目前2025年海南中考五分一段已公布,数据如下:



根据海南省考试局最新公布的数据,今年全省中考报名人数133.399人,较2024年减少2.433人,首次出现负增长。
2025年全省普通高中招生计划已明确增至8.8万个以上。据此测算,2025年海南普高录取率预计将达66.7% ——这意味着每100位考生中,约近67人将获得普通高中入学资格。
在中考人数下滑、普高招生人数上涨的双重优势下,预测2025年海南省普高分数线会有所下降,2024年480分以上可以上民办高中,预测2025年中考480分左右学生均有机会上高中。
头部学校:海南华侨中学(海口)2024年统招生分数线为838分,海口市第一中学为829.5分。2025年预测高分段(800分以上)考生需关注“省一级学校“指标到校政策,如海南中学对少数民族聚居市县考生分数线可低至835分。
市县普高:三亚市第一中学2024年统招线为684分,琼海市嘉积中学预估380-400分,适合中低分段考生。少数民族聚居市县(如陵水、保亭)普高最低控制线为430分,其他地区为480分。
常规批次:民办高中普遍执行普高最低控制线(430-480分),如海南英雅盛彼德学校2024年第二批投档线为480.5分。
补录波动:部分热门校补录阶段分数线大幅上涨,如英雅盛彼德2024年补录线达590.5分,竞争激烈。
特色班型:翰林班(750分+)、创优班(650分+)、艺体班(550分+)分层教学,满足不同需求。
点击查看:海南英雅盛彼德学校普高班招生简章
灵活门槛:多数民办国际高中不设硬性中考分数要求,采用“校内测试+综合素质评估“模式。
学费高:海南民办国际高中学费在几万到二十几万之间,适合高收入且有意向送孩子出国留学的家庭。
推荐学校:
2024分数线:490分(国际班)
课程:IGCSE、A-Level,对接英国G5高校,适合外籍或港澳台学生。
海南英雅盛彼德学校国际班
分数线:无硬性分数要求,需通过校内测试(英语+逻辑)
课程:IB-PYP、IGCSE、A-Level,提供新加坡、日本等低成本留学通道。
头部项目:海南华侨中学中英国际班2024年分数线814.5分,中美合作实验班622分,衔接AP/A-Level课程。
特色项目:海南中学中英课程实验班760分,采用“2+1”模式(2年海南+1年英国),升学目标为世界TOP50大学。
无分数门槛:中职类学校普遍执行普高最低控制线,部分专业(如护理、汽修)可放宽至300分以下。
3+2分段培养:海南省农业学校、海南省商业学校等提供中高职贯通项目,如海南省农业学校“3+2“畜牧兽医专业,2024年分数线350分。
文化线要求:艺术生文化成绩需达到普高最低控制线的60%(如430×60%=258分),专业测试成绩占比40%-60%。
专业方向:
美术类:素描、色彩、速写(如三亚市第一中学艺术班)。
音乐类:声乐、器乐、舞蹈(如定安县山高高级实验中学舞蹈类)。
文化线要求:体育生文化成绩需达到普高最低控制线的70%(如430×70%=301分),专业测试(如田径、篮球)占比50%。
特色项目:
竞技体育:海口市体育运动学校开设田径、游泳、篮球等11个专项,向北京体育大学输送人才。
新兴项目:三亚市业余体育学校新增冲浪、沙滩足球等特色课程,对接海南自贸港产业需求。
2025年海南中考五分一段表的发布,为考生和家长提供了清晰的升学坐标。由于中考后升学选择比较多,且不同的升学路线分数要求不同,所以,海南中考多少分可以上高中并非绝对答案,而是需要动态分析与精准定位的过程。想要快速定位升学和学校,随时可以联系我们!
>>>延展阅读推荐:
2025年海南中考五分一段表发布,多少分可以上高中?
还有疑问?立即在线咨询特别声明:①凡本网注明稿件来源为"原创"的,转载必须经授权后方可发布,违者将依法追究责任;
②部分稿件来源于网络,如有侵权,请联系我们沟通解决,联系邮箱:2498144268@qq.com
1对1免费咨询
解决98%的申请入学问题
长达25年择校服务经验 · 5分钟内响应 · 无限次追问
答当然可以,外地户口是完全可以入读北京的国际学校的。关键要看您为孩子选择哪种类型的国际学校,以及申请的学段。根据目前的政策...
答家长您好!北京十一学校国际部是一所公立国际部,因为公办性质,所以在招生方面不同于民办国际学校,比如在招生对象上,北京公立...
答国际学校0.5项目是什么?是国际学校为初三学生提供的“初高中衔接计划”。学生于初三下学期(即0.5年)提前进入国际课程学...
答在北京上国际学校的都是什么样的家庭?是经济有支撑、理念有共识、规划有方向的家庭,他们不是盲目跟风的“贵族选择”,而是基于...
答双轨制和单轨制国际学校有什么区别?在课程体系与升学路径、教育理念与培养目标、教育理念与培养目标都有所不同。双轨制国际学校...
答alevel大考都考什么?A-Level课程涵盖70余门学科,包括理科(数学、物理、化学、生物)、文科(经济、历史、地理...
免费咨询
张老师

关注微信公众号
招生政策随时看

关注小程序
学校简章学费随时查
报名咨询电话:400-005-1568
育路教育
评论0
“无需登录,可直接评论...”