2012年成人高考专升本高等数学复习笔记
来源:育路教育网发布时间:2012-09-17
第一讲 函数、连续与极限
一、理论要求
| 1.函数概念与性质 | 函数的基本性质(单调、有界、奇偶、周期) 几类常见函数(复合、分段、反、隐、初等函数) |
| 2.极限 | 极限存在性与左右极限之间的关系 夹逼定理和单调有界定理 会用等价无穷小和罗必达法则求极限 |
| 3.连续 | 函数连续(左、右连续)与间断理解并会应用闭区间上连续函数的性质(最值、有界、介值) |
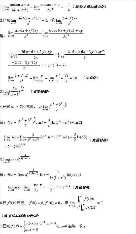
二、题型与解法
| A.极限的求法 | (1)用定义求 (2)代入法(对连续函数,可用因式分解或有理化消除零因子) (3)变量替换法 (4)两个重要极限法 (5)用夹逼定理和单调有界定理求 (6)等价无穷小量替换法 (7)洛必达法则与Taylor级数法 (8)其他(微积分性质,数列与级数的性质) |

推荐辅导班次:
业内名师团队,班主任一对一服务,全面覆盖考点,一次考试,保上名校。 !
更多成考相关内容
热 2013成人高考高起点英语关键句型汇总
- 03-12·2013成考专升本语文记叙文部分资料汇总
- 03-12·2013成考专升本语文记叙文部分资料(八)
- 03-12·2013成考专升本语文记叙文部分资料(七)
- 03-12·2013成考专升本语文记叙文部分资料(六)
- 03-12·2013成考专升本语文记叙文部分资料(五)
- 03-12·2013成考专升本语文记叙文部分资料(四)
- 03-12·2013成考专升本语文记叙文部分资料(三)


