2010年成考高起点数学(理工类)真题解析
来源:发布时间:2011-06-15
一、选择题:本大题共17小题,每小题5分,共85分。在每小题给出的四个选项中,只有一项是符合题目要求的,将所选项前的字母填涂在答题卡相应题号的信息点上。

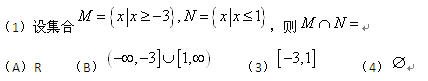
正确答案:C
「名师解析」:根据交集的概念和解不等式组,容易得出答案
「名师点评」:这是历年试卷的第一题,是非常简单题目。安通辅导班学员应当没有问题

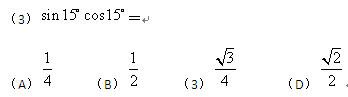
正确答案:C
「名师解析」:有公式,直接求出结果。
「名师点评」:这其实是送分的题。记住公式就行。是要求学员掌握的重点。

正确答案:A
「名师解析」:这是二倍角公式的反方向使用。
「名师点评」:是常见的题目。但考生往往不习惯反方向使用。本题上课时已经讲过并做过强化练习。
正确答案:B
「名师解析」:根据幂的运算法则和对数运算法则
「名师点评」:这样的题在以往几乎年年都有(09年未出),属于基础知识。安通学员已经相当熟悉了。
则
(A)甲是乙的必要条件,但不是乙的充分条件
(B)甲是乙的充分条件,但不是乙的必要条件
(C)甲不是乙的充分条件,也不是乙的必要条件
(D)甲是乙的充分必要条件
正确答案:B
「名师解析」:懂得什么是充分条件,必要条件以及三角函数的简单知识就可解决了。
「名师点评」:这样的题型20年来,年年都有。今年的更简单一些。只要对三角函数有初步认识就可以。此知识点为要求学员必须掌握。
正确答案:A
「名师解析」:根据奇函数定义可以判断。
「名师点评」:函数的奇偶性是重点内容,这样的题多次在成考(论坛)中出现。安通相关知识:安通讲义第三章P52
(7)已知点A(-5,3),B(3,1),则线段AB中点的坐标为
(A)(4,-1) (B)(-4,1) (C)(-2,4) (D)(-1,2)
正确答案:D
「名师解析」:直接代入线段的中点公式。
「名师点评」:这是解析几何的基础知识,只要记住公式就没有问题。
(8)i为虚数单位,则(2-3i)(3+2i)=
(A)12-13i (B)-5i (C)12+5i (D)12-5i
正确答案:D
「名师解析」:代入乘法公式
「名师点评」:这是复数部分的普通的一题,也是经常考的题。比较简单,安通学员也不应有疑问。
(9)若向量a=(x,2),b=(-2,4),且a,b共线,则x=
(A)-4 (B)-1 (C)1 (D)4
正确答案:B
「名师解析」:只要知道对应坐标成比例即可。
「名师点评」:这样的题以前有类似的,就是两向量平行及垂直条件,安通讲义第一套P23有类似题目。
业内名师团队,班主任一对一服务,全面覆盖考点,一次考试,保上名校。 !
更多成考相关内容
热 2013成人高考高起点英语关键句型汇总
- 03-12·2013成考专升本语文记叙文部分资料汇总
- 03-12·2013成考专升本语文记叙文部分资料(八)
- 03-12·2013成考专升本语文记叙文部分资料(七)
- 03-12·2013成考专升本语文记叙文部分资料(六)
- 03-12·2013成考专升本语文记叙文部分资料(五)
- 03-12·2013成考专升本语文记叙文部分资料(四)
- 03-12·2013成考专升本语文记叙文部分资料(三)


