2011年全国硕士研究生入学考试832材料基础真题
1、简答题(每题10分,共50分)
一、 请从原子排列、弹性应力场、滑移性质、柏氏矢量等方面对比刃位错、螺位错的主要特征。
二、 何谓金属材料的加工硬化?如何解决加工硬化对后续冷加工带来的困难?
三、 什么是离异共晶?如何形成的?
四、 形成无限固溶体的条件是什么?简述原因。
五、两个尺寸相同、形状相同的铜镍合金铸件,一个含90%Ni,另一个含50%Ni,铸造后自然冷却,问哪个铸件的偏析严重?为什么?
2、作图计算题(每题15分,共60分)
1)、写出{112}晶面族的等价晶面。
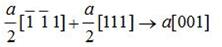
  2)、请判定下列反应能否进行:
3)、已知某晶体在500℃时,每1010个原子中可以形成有1个空位,请问该晶体的空位形成能是多少?(已知该晶体的常数a=0.0539,波耳滋曼常数K=1.381×10-23 J / K)
  4)、

3、综合分析题(共40分)
1).经冷加工的金属微观组织变化如图a所示,随温度升高,并在某一温度
下保温足够长的时间,会发生图b-d的变化,请分析四个阶段微观组织、体系能量和宏观性能变化的机理和原因。

2). 根据Ag-Cd二元相图:
1) 当温度为736℃、590℃、440℃和230℃时分别会发生什么样的三相平衡反应?写出反应式。
2) 分析Ag-56%Cd合金的平衡凝固过程,绘出冷却曲线,标明各阶段的相变反应。
3) 分析Ag-95%Cd合金的平衡凝固与较快速冷却时,室温组织会有什么差别,并讨论其原因。

特别声明:①凡本网注明稿件来源为"原创"的,转载必须注明"稿件来源:育路网",违者将依法追究责任;
②部分稿件来源于网络,如有侵权,请联系我们沟通解决。
25人觉得有用