育路教育网,权威招生服务平台
新东方在线

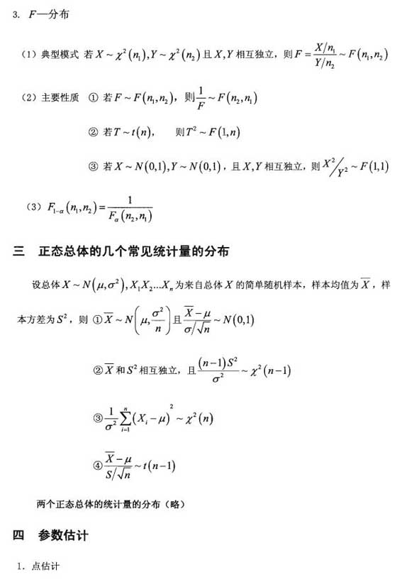
考研数学《概率统计》复习要点总结(34)

来源:海天考研 时间:2013-05-14 15:46:33

查看:考研数学《概率统计》复习要点总结汇总

 考研数学《概率统计》复习要点总结(34) 

 考研数学《概率统计》复习要点

 

结束

特别声明:①凡本网注明稿件来源为"原创"的,转载必须注明"稿件来源:育路网",违者将依法追究责任;

②部分稿件来源于网络,如有侵权,请联系我们沟通解决。

有用

25人觉得有用

阅读全文

2019考研VIP资料免费领取

【隐私保障】

育路为您提供专业解答

相关文章推荐

14

2013.05

考研数学《概率统计》复习要点总结(32)

查看:考研数学《概率统计》复习要点总结汇总 考研数学《概率统计》复习要点总结(32) ......

14

2013.05

考研数学《概率统计》复习要点总结(35)

查看:考研数学《概率统计》复习要点总结汇总 考研数学《概率统计》复习要点总结(32) ......

14

2013.05

考研数学《概率统计》复习要点总结(33)

查看:考研数学《概率统计》复习要点总结汇总 考研数学《概率统计》复习要点总结(33) ......

14

2013.05

考研数学《概率统计》复习要点总结(30)

 查看:考研数学《概率统计》复习要点总结汇总 考研数学《概率统计》复习要点总结(30) ......

14

2013.05

考研数学《概率统计》复习要点总结(31)

 查看:考研数学《概率统计》复习要点总结汇总 考研数学《概率统计》复习要点总结(31) ......

14

2013.05

考研数学《概率统计》复习要点总结(29)

 查看:考研数学《概率统计》复习要点总结汇总 考研数学《概率统计》复习要点总结(29) ......

您可能感兴趣
为什么要报考研辅导班? 如何选择考研辅导班? 考研辅导班哪个好? 哪些北京考研辅导班靠谱? 2019考研辅导班大全