考研数学复习必须抓住三个基本:基本概念、基本理论、基本方法。从数学考试大纲的考试要求看,要求考生比较系统地理解数学的基本概念、基本理论,掌握数学的基本方法,具备抽象思维能力、逻辑推理能力、空间想象能力、运算能力和综合运用所学的知识分析问题和解决问题的能力。这些要求决定了命题人命题的方向,也决定了考生备考的方向。从近几年考研数学的真题来看,对基础知识的考查题目越来越多,占得分值也越来越大。由此可看出基础知识在考研初试成功与否中的的决定性地位。如果只从卷面的表象来看,似乎只有第一大题的单选题与第二大道的填空题是在考查基础概念和理论,但事实远非如此。第三大题的解答题中计算题、证明题、应用题如果没有扎实的基础理论作为前提,正确解答是不可能的。所以抓住基础,也就抓住了试卷的核心,也就抓住了获取高分的命门。基础决定论是考研数学得到高分的圣经!
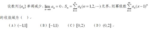
对基本概念理解到什么程度,能成功解答的题目难度就到什么程度,即对概念的理解很表面,那么就只能解答那些比较浅显的考查概念的题目;对概念的挖掘很深入,那么解答难度升级的题目就会得心应手。例如2011年的一道选择题:

这道题就是考查交错级数的莱布尼茨审敛法及幂级数的收敛区间、收敛域的概念。当然其中也隐含了对数列单调减少及极限为0概念的理解,正因为在这两个条件下,才有 的结论,也才能利用交错级数的审敛法进行判断。另外对正项级数收敛概念的全面理解帮助我们判断收敛区间的端点处是否收敛。

对基本理论的掌握是考研数学的起码要求,也是考生进一步提升自己专业素质的基本要求。有些考生对基本理论的理解容易混淆,这时可以总结一些适合自己的记忆理解方式。例如2011年一个真题:

这个题目考查矩阵的初等变换与初等矩阵之间的关系理论,另外对“左行右列”也要正确应用,即左乘初等矩阵相当于对行进行初等变换,右乘初等矩阵相当于对列进行初等变换。
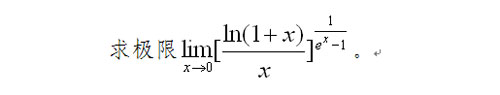
基本方法是解答数学题目的基础,考研数学复习必须掌握一定量的基本方法才能将考查基础的70%题目正确解答,同时也才能将提升自己解答稍难题目的技巧。例如2011真题:

这个题目是考查重要极限、洛必达法则和等价无穷小替换等基本方法的应用的题目,这些方法都是求极限较基础的方法,也是实用有效的方法,选择的合适便可快速准确求得结果。
考研数学复习在注重“三基”的基础上,再加上对技巧及理论的升华与模拟题目的练习(例如《考研数学绝对考场比较后八套题》中套卷)巩固,高分不在话下!
考试须知:2012考研时间安排 ♦应试技巧及考场须知 ♦各省考点安排查询
准 考 证:下载打印时间安排 ♦ 准考证下载入口 ♦ 下载打印注意事项
复习备考:考研政治时事汇总 ♦ 2012考研冲刺专题 ♦ 考研英语冲刺精华资料
特别声明:①凡本网注明稿件来源为"原创"的,转载必须注明"稿件来源:育路网",违者将依法追究责任;
②部分稿件来源于网络,如有侵权,请联系我们沟通解决。
25人觉得有用
20
2011.12
在历届考研试题中,含有变限积分与原函数的综合题是比较多的,它的基础知识是需要掌握的。下面,我们......
20
2011.12
考研数学复习过程中,如果能够掌握复习的方法和技巧,可以让你的复习事半功倍,可以让你在别人都紧张......
20
2011.12
第一部分,行列式和矩阵。 行列式和矩阵是线性代数的基础部分,在考试中常以选择题填空题的形式......
20
2011.12
1、关于试卷 1)试卷分数和考试时间:考研数学满分150分,时间180分钟 2)试卷题型结构 单项......
20
2011.12
线性代数在考研数学里占22%,一个配角的地位,但是它有它的特点,这门课程概念性很强,这个特点正......
20
2011.12
一、高等数学 高等数学是考研数学的重中之重,所占的比重较大,在数学一、三中占56%,数学二中......