2025年黑龙江高考二卷英语及全科试卷真题答案解析
2025年黑龙江新高考采用“3+1+2”模式,考生需参加语文、数学、外语统考,以及物理/历史首选科目和两门再选科目考试。其中语文、数学、外语采用新高考二卷,由教育部统一出题,首选科目及再选科目由黑龙江省自主命题。本文将为考生整理全科试卷真题及答案解析,为考生提供精准参考!
一、2025年黑龙江新高考二卷语文试卷真题及答案解析
考试时间:6月7日9:00-11:30
作文题目已更新:
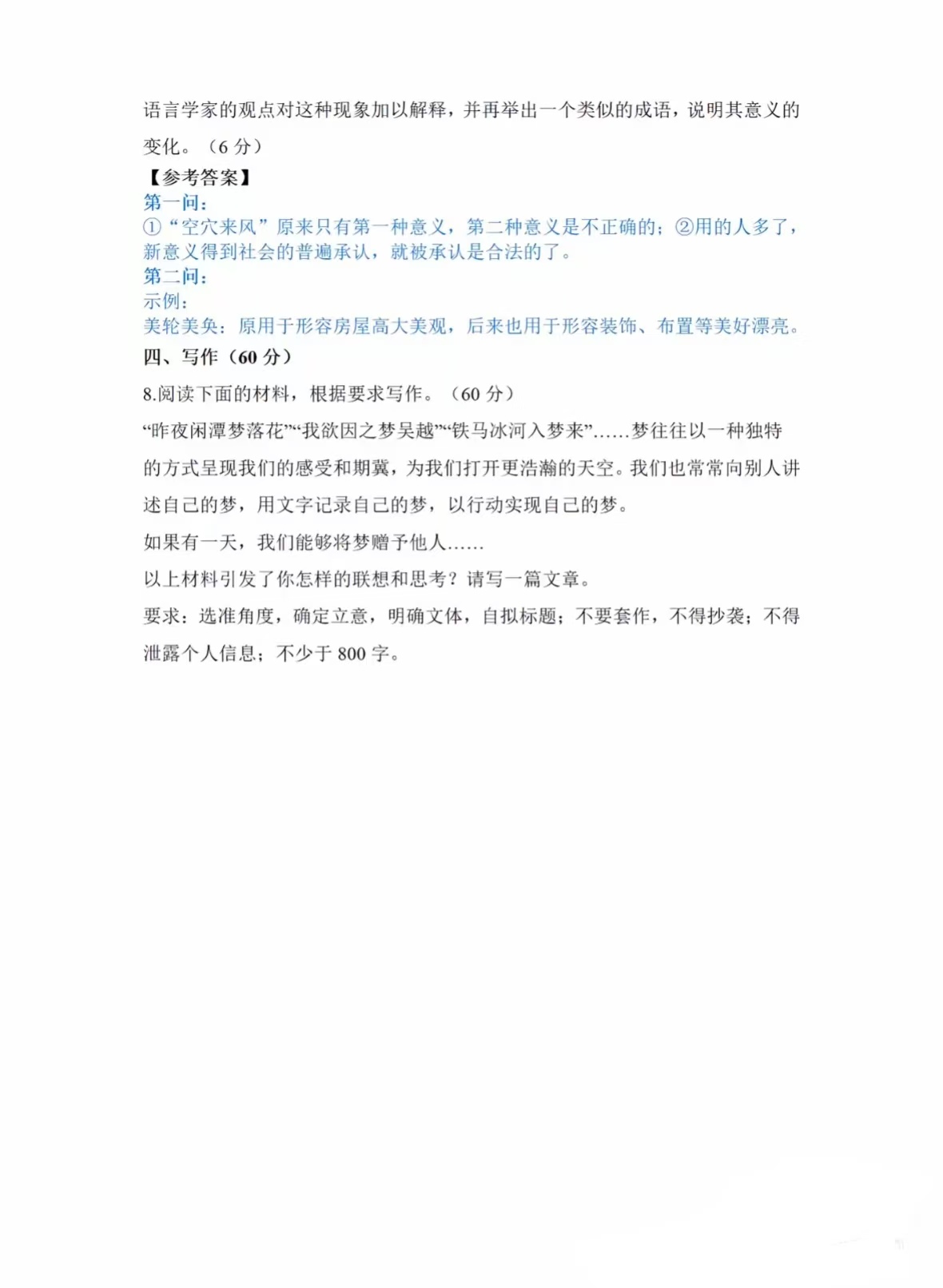
阅读下面的材料,根据要求写作。(60分)
“昨夜闲潭梦落花”“我欲因之梦吴越”“铁马冰河入梦来”……梦往往以一种独特的方式呈现我们的感受和期冀,为我们打开更浩瀚的天空。我们也常常向别人讲述自己的梦,用文字记录自己的梦,以行动实现自己的梦。
如果有一天,我们能够将梦赠予他人……
以上材料引发了你怎样的联想和思考?请写一篇文章。
要求:选准角度,确定立意,明确文体,自拟标题;不要套作,不得抄袭;不得泄露个人信息;不少于800字。









本场考试的结束时间为11:30!试卷真题和答案解析将在考试结束后尽快更新,请考生及时关注本文最新内容!
二、2025年黑龙江新高考二卷数学试卷真题及答案解析
考试时间:6月7日15:00-17:00


















本场考试的结束时间为17:00!试卷真题和答案解析将在考试结束后尽快更新,请考生及时关注本文最新内容!
三、2025年黑龙江新高考二卷外语(英语)试卷真题及答案解析
考试时间:6月8日15:00-17:00
本场考试的结束时间为 17:00!试卷真题和答案解析将在考试结束后尽快更新,请考生及时关注本文最新内容!
四、2025年黑龙江物理/历史试卷真题及答案解析
1.物理考试时间:6月8日9:00-10:15
物理模拟试题 1:
一滑雪者从亚布力滑雪场某雪道顶端由静止滑下,已知雪道长度 200 米,倾角 15°,动摩擦因数 0.1,求到达底端的速度。
答案解析:根据动能定理,mgh-μmgcosθ×s=0.5mv2,h=200×sin15°≈51.76 米,代入得 v≈√(2×(9.8×51.76-0.1×9.8×cos15°×200))≈22.1 米 / 秒(公式 2 分,计算 3 分)。
2.历史考试时间:6月8日9:00-10:15
历史模拟试题 1:
分析哈尔滨工业基地对新中国工业化的贡献。
答案解析:奠定重工业基础(2 分)、培养技术人才(2 分)、推动国防科技发展(2 分)。例如,哈电集团研制的白鹤滩水电站 100 万千瓦水电机组,单机容量世界第一。
本场考试的结束时间为 10:15!试卷真题和答案解析将在考试结束后尽快更新,请考生及时关注本文最新内容!
五、 2025年黑龙江化学/地理/政治/生物试卷真题及答案解析
化学考试时间:6月9日8:30-9:45
地理考试时间:6月9日11:00-12:15
政治考试时间:6月9日14:30-15:45
生物考试时间:6月9日17:00-18:15
本场考试的结束时间为 18:15!试卷真题和答案解析将在考试结束后尽快更新,请考生及时关注本文最新内容!
六、考后行动建议
科学估分:避免直接看答案,先独立重做试题,减少记忆偏差。参考评分细则估算分数,误差控制在 ±15 分以内。
了解政策:了解黑龙江省“3+1+2”模式的录取规则,如物理类与历史类的专业组差异。参考2024年分数线:本科批历史类410分、物理类360分,合理定位目标院校。
志愿填报准备:本科志愿填报时间预计为 6 月 27 日 9:00-6 月 30 日 18:00,专科志愿随补录进行,具体以官网通知为准。
2025 年黑龙江新高考二卷的全科解析将持续更新,考试结束后,建议优先完成志愿填报准备工作,同时合理规划假期生活。
(责任编辑:刘涛)
特别说明:由于各省份高考政策等信息的不断调整与变化,育路高考网所提供的所有考试信息仅供考生及家长参考,敬请考生及家长以权威部门公布的正式信息为准。




