参考答案!2025年四川省高考语文及全科答案解析汇总
2025年四川省高考于6月7日至9日举行,采用“3+1+2”模式,其中语文、数学、英语三科使用全国新高考II卷,物理、历史、化学、生物、政治、地理六科由四川省自主命题。以下为九科考试时间、真题解析及参考答案,考生可根据自己的所选科目进行对照估分!
一、2025年四川省语文答案及真题试卷解析
考试时间:2025年6月7日9:00-11:30
参考答案及真题解析:
作文题目已公布:
阅读下面的材料,根据要求写作。(60分)
“昨夜闲潭梦落花”“我欲因之梦吴越”“铁马冰河入梦来”……梦往往以一种独特的方式呈现我们的感受和期冀,为我们打开更浩瀚的天空。我们也常常向别人讲述自己的梦,用文字记录自己的梦,以行动实现自己的梦。
如果有一天,我们能够将梦赠予他人……
以上材料引发了你怎样的联想和思考?请写一篇文章。
要求:选准角度,确定立意,明确文体,自拟标题;不要套作,不得抄袭;不得泄露个人信息;不少于800字。









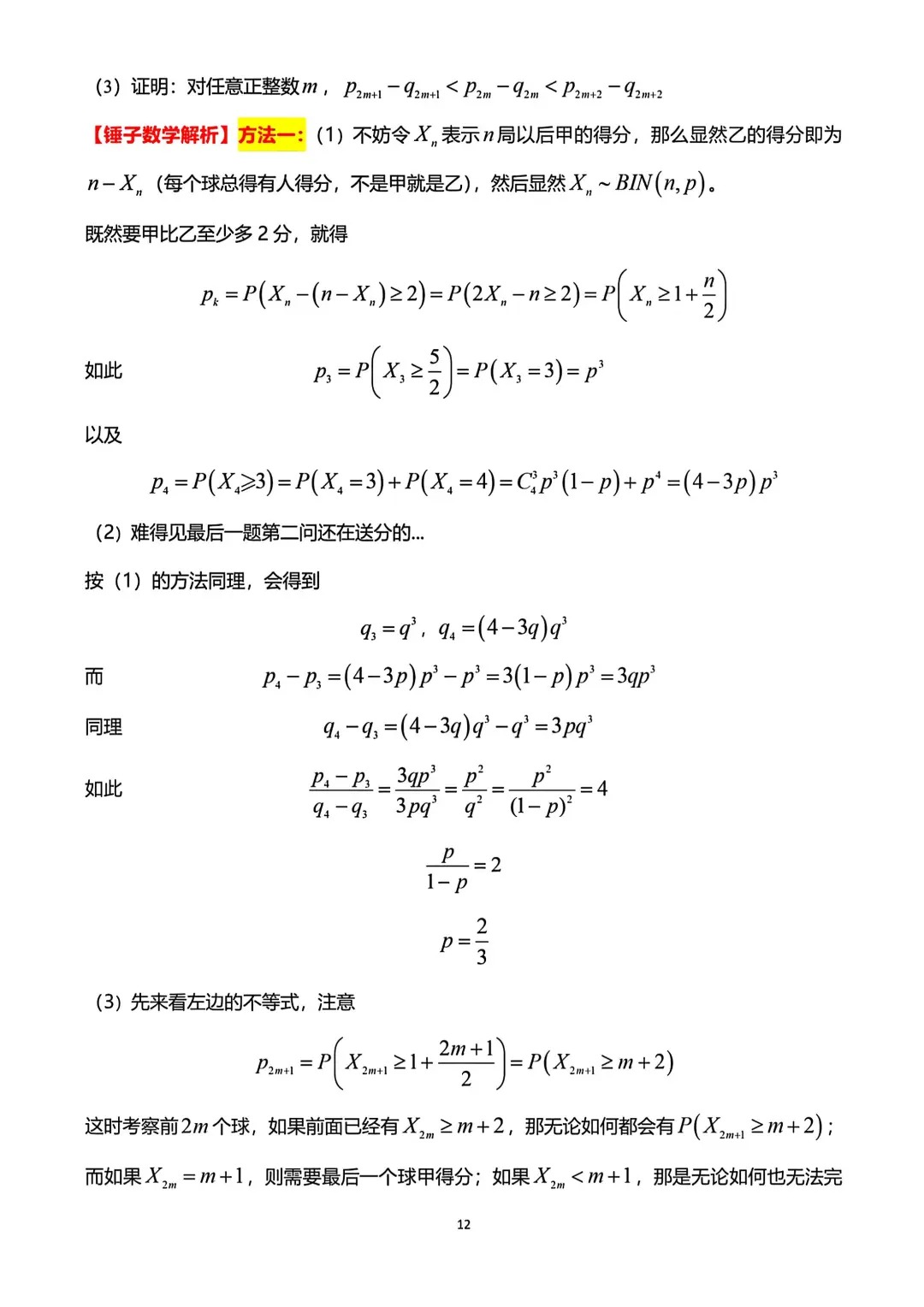
二、2025年四川省数学答案及真题试卷解析
考试时间:2025年6月7日15:00-17:00
参考答案及真题解析:


















三、2025年四川省英语答案及真题试卷解析
考试时间:2025年6月8日15:00-17:00参考答案及真题解析:
听力部分涵盖日常生活对话,如旅游建议、健康咨询等。例如,对话一要求考生根据“参观大熊猫基地”的描述选择正确选项。
阅读理解聚焦低碳城市、在线教育等议题。A篇要求考生概括低碳城市的核心目标,需结合文本中“减少碳排放、促进可持续发展”的表述。
写作部分以“推荐四川旅游景点”为题,要求考生根据英国友人Tom的计划,结合自身经历推荐成都、九寨沟等景点,并说明文化或自然特色。
该科目官方答案及真题试卷将在考试结束后进行公布!
四、2025年四川省物理答案及真题试卷解析
考试时间:2025年6月8日9:00-10:15
参考答案及真题解析:

该科目官方答案及真题试卷将在考试结束后进行公布!
五、2025年四川省化学答案及真题试卷解析
考试时间:2025年6月9日8:30-9:45
参考答案及真题解析:
选择题覆盖原子结构、化学反应速率等核心考点。例如,第2题要求考生分析温度对反应速率的影响,正确答案为“温度越高,反应速率越快”。
填空题侧重化学平衡、氧化还原反应等概念。例如,需考生填写“化学平衡状态下正逆反应速率相等”。
实验题要求考生设计探究盐酸浓度与锌反应速率的实验,需明确控制变量法及数据记录方式。
该科目官方答案及真题试卷将在考试结束后进行公布!
六、2025年四川省生物答案及真题试卷解析
考试时间:2025年6月9日17:00-18:15
参考答案及真题解析:
选择题涉及细胞结构、遗传信息传递等基础内容。例如,第1题要求考生辨析细胞膜成分,正确答案为“脂质和蛋白质”。
简答题考查生态系统稳定性、植物激素作用等综合知识。例如,需考生分析光合作用与呼吸作用的能量转化关系。
分析题要求考生结合种群数量变化模型,阐述生态系统的抵抗力稳定性与恢复力稳定性。
该科目官方答案及真题试卷将在考试结束后进行公布!
七、2025年四川省历史答案及真题试卷解析
考试时间:2025年6月8日9:00-10:15
参考答案及真题解析:
选择题覆盖四川地方史、中国近现代史等。例如,第1题要求考生识别古代四川水利工程,正确答案为“都江堰”。
简答题聚焦四川在抗日战争中的贡献,需考生结合“后方基地”“战略转移”等关键词分析其历史地位。
论述题要求考生从地理位置、资源优势等角度,分析四川近现代发展的机遇与挑战。
该科目官方答案及真题试卷将在考试结束后进行公布!
八、2025年四川省地理答案及真题试卷解析
考试时间:2025年6月9日11:00-12:15
参考答案及真题解析:
选择题涉及地球运动、水循环等自然地理内容。例如,第1题要求考生分析地球自转线速度的分布规律,正确答案为“赤道最大”。
综合分析题要求考生结合气温、降水分布图,分析区域气候特征及影响因素。例如,需考生从纬度、海陆位置等角度解释1月与7月气温差异。
该科目官方答案及真题试卷将在考试结束后进行公布!
九、2025年四川省政治答案及真题试卷解析
考试时间:2025年6月9日14:30-15:45
参考答案及真题解析:
选择题覆盖我国政治制度、经济发展新常态等核心考点。例如,第1题要求考生识别中国特色社会主义制度的本质特征,正确答案为“中国共产党领导”。
简答题聚焦新时代社会主要矛盾,需考生结合“不平衡不充分发展”提出解决路径,如深化改革、创新驱动等。
论述题要求考生分析中国外交政策调整对全球治理的影响,需结合“人类命运共同体”理念展开论述。
该科目官方答案及真题试卷将在考试结束后进行公布!
(责任编辑:刘涛)
特别说明:由于各省份高考政策等信息的不断调整与变化,育路高考网所提供的所有考试信息仅供考生及家长参考,敬请考生及家长以权威部门公布的正式信息为准。




