2025年广西高考数学及各科考试真题答案更新
2025年广西高考已正式开启,考试时间为6月7日至6月9日,为期三天。考试科目包括语文、数学、英语、物理、历史、化学、地理、政治和生物。考试结束后,圆梦小灯塔将第一时间更新各科真题及答案,帮助考生及时核对试题内容,预估高考成绩。
一、2025年广西高考语文真题及答案
考试时间:6月7日上午9:00-11:30




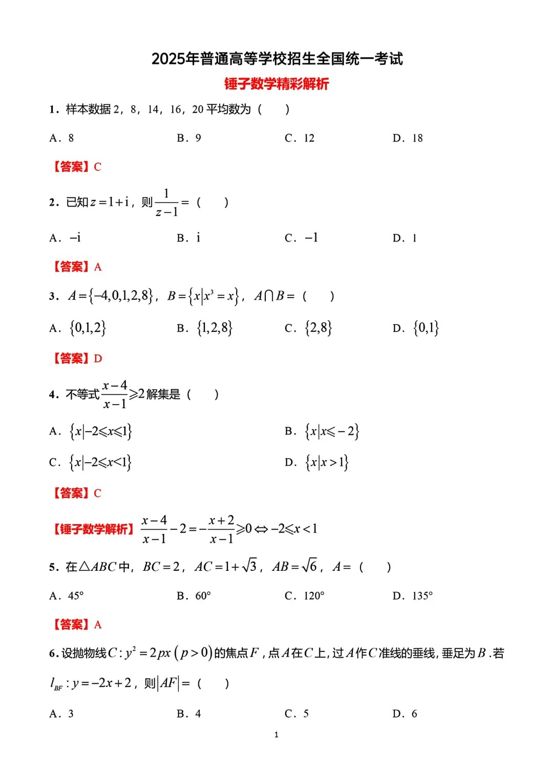
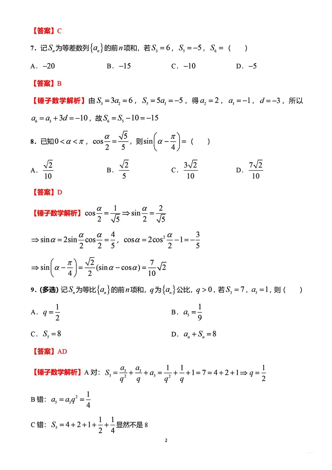
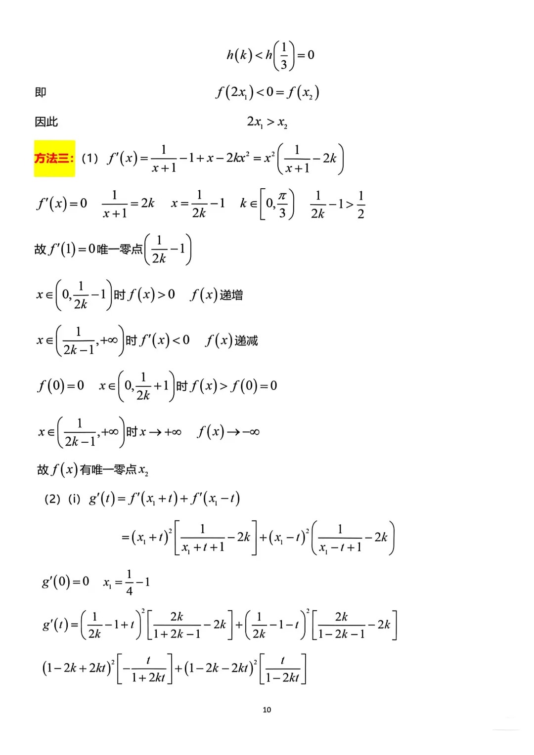
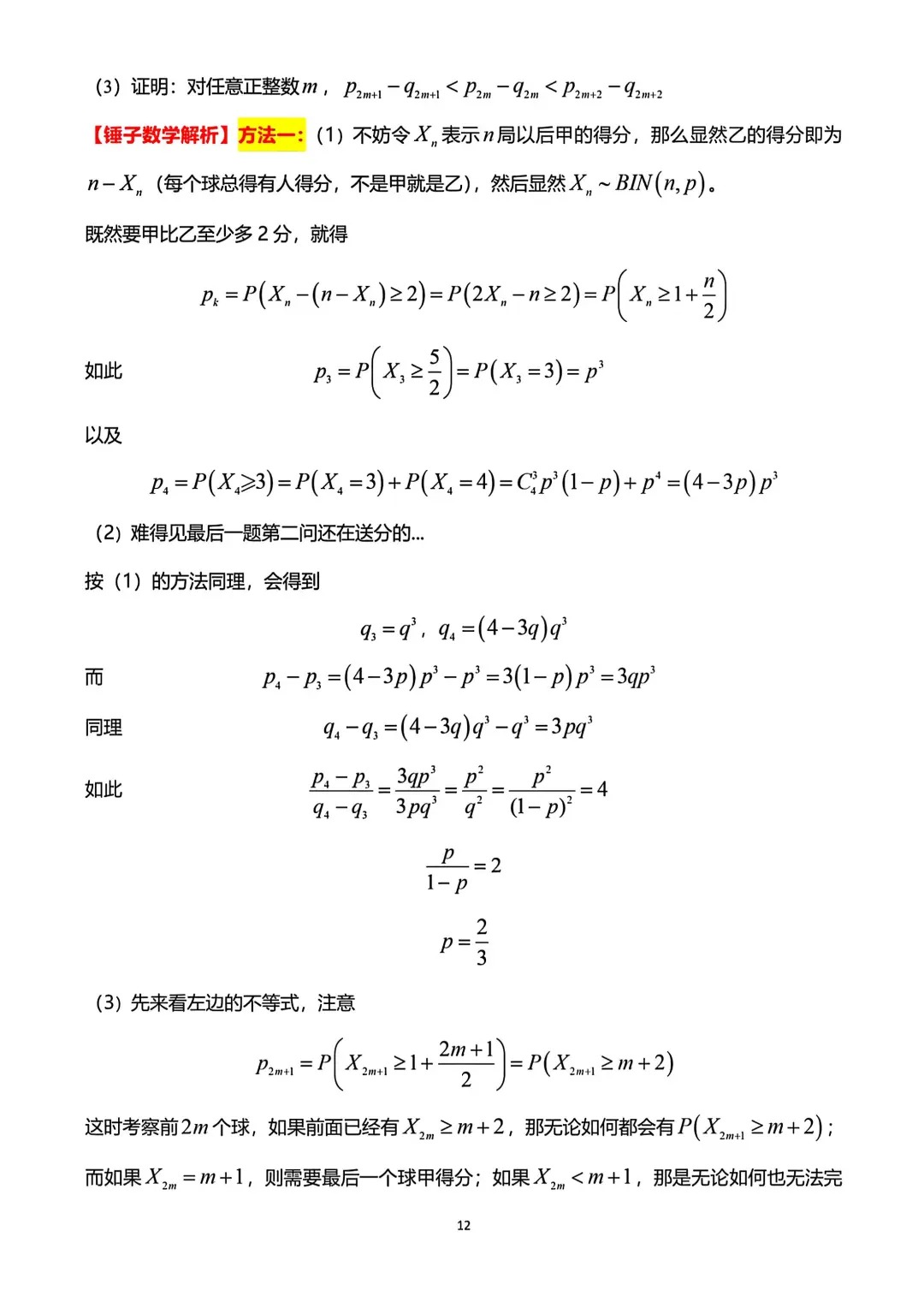
二、2025年广西高考数学真题及答案
考试时间:6月7日下午15:00-17:00














三、2025年广西高考英语真题及答案
考试时间:6月8日下午15:00-17:00
考试真题及答案:2025年广西高考英语真题及参考答案将在考试结束后及时上线,供考生对照参考,检查听力、阅读与写作得分情况。
四、2025年广西高考物理真题及答案
考试时间:6月8日上午9:00-10:15
考试真题及答案:2025年广西高考物理答案及试卷解析将第一时间发布,助力理科考生回顾关键题型,快速估算得分。
五、2025年广西高考历史真题及答案
考试时间:6月8日上午9:00-10:15
考试真题及答案:2025年广西高考历史真题及答案将在考试后及时整理公布,帮助文科考生清晰掌握答题情况,准确判断得分。
六、2025年广西高考化学真题及答案
考试时间:6月9日上午8:30-9:45
考试真题及答案:2025年广西高考化学真题及标准答案将在考试结束后快速发布,考生可第一时间核对答案,分析知识点覆盖情况。
七、2025年广西高考地理真题及答案
考试时间:6月9日上午11:00-12:15
考试真题及答案:2025年广西高考地理科目答案与真题将在考后及时更新,帮助考生查找易错题目,全面评估地理科表现。
八、2025年广西高考政治真题及答案
考试时间:6月9日下午14:30-15:45
考试真题及答案:2025年广西高考政治答案将在考试结束后第一时间公布,供考生核查答题情况,评估高考总体成绩。
九、2025年广西高考生物学真题及答案
考试时间:6月9日下午17:00-18:15
考试真题及答案:2025年广西高考生物学真题与答案将于考试结束后迅速更新,便于考生进行最后一科的自我评估,掌握全科总分情况。
(责任编辑:刘涛)
特别说明:由于各省份高考政策等信息的不断调整与变化,育路高考网所提供的所有考试信息仅供考生及家长参考,敬请考生及家长以权威部门公布的正式信息为准。




